- CFA Exams
- 2023 Level I > Topic 4. Corporate Issuers
- 3. Total Leverage and Breakeven Points
Why should I choose AnalystNotes?
AnalystNotes specializes in helping candidates pass. Period.
Subject 3. Total Leverage and Breakeven Points
Operating leverage (first-stage leverage) affects EBIT, while financial leverage (second-stage leverage) affects earnings after interests and taxes (net income), which are the earnings available to shareholders. Financial leverage further magnifies the impact of operating leverage on earnings per share (EPS) due to changes in sales.


Both operating leverage and financial leverage contribute to the risk associated with a firm's future cash flows. The degree of total leverage (DTL) combines DOL and DFL, and measures the impact of a given percentage change in sales on EPS.

If both DOL and DFL are high, a small change in sales leads to wide fluctuations in EPS.
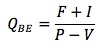
The breakeven point is the volume of sales at which total costs equal total revenues, causing net income to equal zero: PQ - VQ - F - I = 0. The breakeven number of units, QBE, is:

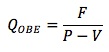
The operating breakeven point is the number of outputs at which revenues = operating costs: PQOBE = VQOBE + F. QOBE is:

Consider a project where the fixed costs are $10,000, the variable costs are $2 per unit, the selling price per unit is $4, and the interest expense is $1,000. The breakeven sales quantity is 11,000 / (4 - 2) = 5,500 units and the operating breakeven sales quantity is 10,000 / (4 - 2) = 5,000 units.
In general, the farther unit sales are from the breakeven point for high-leverage companies, the greater the magnifying effect of this leverage.
Practice Question 1
Consider a firm with sales of $500,000, cost of goods sold of $245,000, fixed operating costs of $50,000, and a financing expense of $60,000. The degree of total leverage for this firm is ______.A. 1.10
B. 1.41
C. 1.76Correct Answer: C
DTL = (S - VC)/(EBIT - I) = ($500 - $245)/($500 - $245 - $50 - $60) = 1.76
Practice Question 2
A firm plans to manufacture widgets and sell them at a price of $4 each. Fixed costs associated with the project will be $7,500 and variable costs for each widget will be $3.50. The operating breakeven point for the production of the widgets is ______ widgets.A. 15,000
B. 20,000
C. 50,000Correct Answer: A
Each unit sold contributes $0.50 to cover the fixed costs. Q* = $7,500/$0.50 = 15,000 units
Practice Question 3
Which of the following is correct?A. Accounting breakeven quantity will increase with an increase in fixed costs.
B. If the discount rate increases, the quantity required to be sold for accounting breakeven increases.
C. Accepting a project that has accounting breakeven will leave the value of a firm unchanged.Correct Answer: A
Accounting breakeven quantity = (FC + Depre) / (P - VC)
Accounting breakeven implies the project will have a negative NPV and hence decrease the value of the firm.
Study notes from a previous year's CFA exam:
3. Total Leverage and Breakeven Points