- CFA Exams
- 2023 Level I > Topic 4. Corporate Issuers
- 5. Flotation Costs
Why should I choose AnalystNotes?
AnalystNotes specializes in helping candidates pass. Period.
Subject 5. Flotation Costs
Flotation costs are the costs of issuing a new security, including the money investment bankers earn from the spread between their cost and the price offered to the public, and the accounting, legal, printing and other costs associated with the issue.
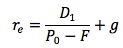
The amount of flotation costs is generally quite low for debt and preferred stock (often 1% or less of the face value), so we ignore them here. However, the flotation costs of issuing common stocks may be substantial, so they must be accounted for in the WACC. Generally, we calculate this by reducing the proceeds from the issue by the amount of the flotation costs and recalculating the cost of equity.

Example 1
XYZ is contemplating issuing new equity. The current price of their stock is $30 and the company expects to raise its current dividend of $1.25 by 7% indefinitely. If the flotation cost is expected to be 9%, what would be the cost of this new source of capital?
Cost of external equity = (1.25 x 1.07) / (30 x (1 - 0.09)) + 0.07 = 11.9%
Without the flotation cost, the cost of new equity would be (1.25 x 1.07) / 30 + 0.07 = 11.46%.
Note that flotation costs will always be given, but they may be given as a dollar amount or as a percentage of the selling price.
This is a typical example found in most textbooks. One problem with this approach is that the flotation costs are a cash flow at the initiation of the project and affect the value of any project by reducing the initial cash flow. It is not appropriate to adjust the present value of the future cash flows by a fixed percentage. An alternative approach is to make the adjustment to the cash flows in the valuation computation.
Example 2
Continue with the above example. Assume that XYZ is going to raise $10 million in new equity for a project. The initial investment is $10 million and the project is expected to produce cash flows of $4.5 million each year for 3 years.
Ignoring the flotation cost of issuing new equity, the NPV of the project will be -10 + 4.5/1.11461 + 4.5/1.11462 + 4.5/1.11463 = $0.9093 million.
Now consider the flotation cost of 9%. The NPV, considering the flotation costs, is 0.9093 - 0.9 = $0.0093 million.
However, if we use the "typical" approach, the NPV. considering the flotation costs, will be -10 + 4.5/1.1191 + 4.5/1.1192 + 4.5/1.1193 = $0.8268 million.
Practice Question 1
Which statement is INCORRECT?
A. Flotation costs are higher in percentage terms for equity issuances than they are for debt.B. When flotation costs are incorporated into the cost of capital, the adjusted cost of capital is more than if flotation costs were not included.
C. Whenever debt and preferred stock are raised, the preferred method is to include the flotation costs in the initial cash flow.Correct Answer: C
Flotation costs are not usually incorporated in the estimated cost of capital for debt and preferred stock issues.
Practice Question 2
The textbook prefers to ______ when accounting for flotation costs in equity issuances.
A. incorporate the flotation costs into the cost of capitalB. incorporate the flotation costs as additional cost
C. incorporate the floatation costs in riskiness of the projectCorrect Answer: B
Despite this being the recommended approach, the approach of adjusting flotation costs in the cost of capital appears to be the more popular approach. The main reason lies in the fact that by adjusting the cost of capital for flotation costs, it is easier to demonstrate how the costs of financing a company change as a company exhausts its internally generated equity and switches to externally generated equity.
Practice Question 3
The component cost of newly issued capital differs from the component cost of retained earnings in the following way:A. The bond + premium approach doesn't work for new capital.
B. Newly issued capital is usually issued at a lower par value than that of older existing common stock.
C. Flotation costs are subtracted from the price received (P) in the calculation of (k).Correct Answer: C
The flotation costs of issuing common stocks may be substantial, so they must be accounted for in the WACC.
Study notes from a previous year's CFA exam:
5. Flotation Costs